2023年度科技型中小企业评价指南来啦
各有关省、自治区、直辖市及计划单列市科技厅(委、局):
为贯彻党的二十大精神,营造有利于科技型中小微企业成长的良好环境,根据《科技型中小企业评价办法》(国科发政〔2017〕115号)、《科技部 国家税务总局关于做好科技型中小企业评价工作有关事项的通知》(国科发火〔2018〕11号)和《科技型中小企业评价服务工作指引》(国科火字〔2022〕67号)的有关要求,请各地方科技主管部门扎实做好2023年度科技型中小企业评价服务工作,现就有关事项通知如下。
一、严格标准,规范开展高质量评价服务工作
1.强化参评企业主体责任和诚信意识,加强评价工作队伍培训和管理,严格执行评价标准和流程,加强对直通车条件相关信息一致性和有效性的审验,重点关注评价系统反馈风险提示信息,严把入库企业质量关。
2.建立常态化监督监测机制,综合运用异议复核、动态监测、抽查复核等手段,对入库科技型中小企业评价指标信息数据进行跟踪监测,及时处理不符合入库条件的企业并按规定程序予以公告。
3.坚持“放管服”原则,认真落实评价工作全流程网上办理要求,进一步完善服务机制,提升评价审核和公示公告效率,为企业提供便捷高效的评价服务。
4.秉承阳光公正的工作理念,主动向社会公开监督方式,接受社会监督,及时妥善处理异议、投诉、举报信息,探索建立企业诚信档案和联合惩戒机制。
二、夯实质量,继续做好全年评价服务工作安排
1.加强政策宣贯力度,鼓励企业尽早参评科技型中小企业,在5月31日(企业所得税汇算清缴截止时间)前获得入库登记编号,及时享受科技型中小企业研发费用税前加计扣除专项政策优惠(《关于进一步提高科技型中小企业研发费用税前加计扣除比例的公告》财政部、国家税务总局、科技部公告2022年第16号)。
2.强化入库科技型中小企业动态监测、分层分类及增值服务工作,按照科技部办公厅《关于营造更好环境支持科技型中小企业研发的通知》(国科办区〔2022〕2号)要求,继续发掘、培育一批技术含量高、创新综合能力强的“四科”标准科技型中小企业,为建立科技型中小企业分类扶持、精准服务机制打下基础。
3.确保全年评价工作按时收尾,企业原则上应于9月30日前完成参评提交,省级科技主管部门应于10月31日前完成全部拟入库企业公示,并及时全面总结本地区全年评价服务工作、监督工作、政策制定和实施成效等情况,于11月30日前报送年度工作总结报告。
科学技术部火炬高技术产业开发中心
2023年2月23日
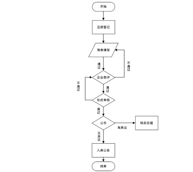
入库评价路径

符合条件的中小微企业访问全国一体化政务服务平台科学技术部政务服务平台(https://fuwu.most.gov.cn),注册登记。注册成功企业点击服务平台“科技型中小企业评价”事项“办理入口”按钮,按要求在线填报《科技型中小企业信息表》,自主进行科技型中小企业评价。
评价条件
(一)基本条件
科技型中小企业须同时满足以下条件:
1.在中国境内(不包括港、澳、台地区)注册成立或依照外国(地区)法律成立但实际管理机构在中国境内的会计核算健全、实行查账征收并能够准确归集研发费用,并缴纳企业所得税的居民企业。
2.职工总数不超过500人、年销售收入不超过2亿元、资产总额不超过2亿元。3.企业所在行业不属于国家发展改革委员会《产业结构调整指导目录》规定的限制类和淘汰类范围,不属于财政部、国家税务总局、科技部《关于完善研究开发费用税前加计扣除政策的通知》(财税〔2015〕119号)规定的不适用税前加计扣除政策的行业。
4.企业在上一会计年度及当年未发生重大安全、重大质量事故、严重环境违法、严重弄虚作假和科研严重失信行为,且在上一会计年度及当年未列入经营异常名录和严重违法失信企业名单。
5.企业根据科技型中小企业评价指标进行综合评价所得分值不低于60分,且科技人员指标得分不得为0分。
(二)直通车条件
符合上述评价条件的企业,若同时符合下列条件中的一项,不受综合评价所得分值高低限制,可直接确认符合科技型中小企业条件:
1.企业拥有有效期内高新技术企业资格证书;
2.企业近五年内获得过国家级科技奖励;
3.企业拥有经认定的省部级以上研发机构;
4.企业近五年内主导制定过国际标准、国家标准或行业标准。
(三)评价指标
科技型中小企业评价指标具体包括科技人员、研发投入、科技成果三类,满分100分。
1.科技人员指标(满分20分)。按科技人员数占企业职工总数的比例分档评价。
A.30%(含)以上(20分)
B.25%(含)-30%(16分)
C.20%(含)-25%(12分)
D.15%(含)-20%(8分)
E.10%(含)-15%(4分)
F.10%以下(0分)
2.研发投入指标(满分50分)。企业从(1)、(2)两项指标中选择一个指标进行评分。
(1)按企业研发费用总额占销售收入的比例分档评价。
A.6%(含)以上(50分)
B.5%(含)-6%(40分)
C.4%(含)-5%(30分)
D.3%(含)-4%(20分)
E.2%(含)-3%(10分)
F.2%以下(0分)
(2)按企业研发费用总额占成本费用支出总额的比例分档评价。
A.30%(含)以上(50分)
B.25%(含)-30%(40分)
C.20%(含)-25%(30分)
D.15%(含)-20%(20分)
E.10%(含)-15%(10分)
F.10%以下(0分)
3.科技成果指标(满分30分)。按企业拥有的在有效期内的与主要产品(或服务)相关的知识产权类别和数量(知识产权应没有争议或纠纷)分档评价。A.1项及以上Ⅰ类知识产权(30分)
B.4项及以上Ⅱ类知识产权(24分)
C.3项Ⅱ类知识产权(18分)
D.2项Ⅱ类知识产权(12分)
E.1项Ⅱ类知识产权(6分)
F.没有知识产权(0分)
填报注意事项
1.企业应如实填报所附各表。要求文字简洁,数据准确、详实。
2.各栏目不得空缺,无内容填写“0”;数据有小数时,保留小数点后2位。
3.资产总额应以企业上一会计年度会计报表期末数为准。
4.科技人员和研发投入指标,采用上一会计年度财务数据和统计数据进行评价。
5.企业科技人员是指企业直接从事研发和相关技术创新活动,以及专门从事上述活动管理和提供直接服务的人员,包括在职、兼职和临时聘用人员,兼职、临时聘用人员全年须在企业累计工作六个月以上。
6.企业职工总数包括企业在职、兼职和临时聘用人员。在职人员可以通过是否签订劳动合同、缴纳社会保险费、缴纳工资薪金个人所得税等方式之一进行鉴别,兼职、临时聘用人员全年须在企业累计工作六个月以上。
7.所称职工总数、科技人员数和资产总额指标,应按企业全年的季度平均值确定。具体计算公式如下:
季度平均值=(季初值+季末值)÷2
全年季度平均值=全年各季度平均值之和÷4
年度中间开业或者终止经营活动的,以其实际经营期作为一个纳税年度确定上述相关指标。
8.企业研发费用是指企业研发活动中发生的相关费用,按照财政部、国家税务总局、科技部《关于完善研究开发费用税前加计扣除政策的通知》(财税〔2015〕119号)、《关于进一步提高科技型中小企业研发开发费用税前加计扣除比例的通知》(财税〔2017〕34号)及其他有关规定进行归集。
9.研发形式包括:自主研发、合作研发、集中研发、委托境内研发、委托境外研发。
10.企业委托境内外部机构或个人的研发项目,按实际发生费用额的80%计入研发费用总额。
11.企业委托境外机构或个人的研发项目,按实际发生费用额的80%计入企业研发费用总额,不超过境内符合条件的研发费用的三分之二。
12.项目实施状态是指:已完成、未完成。
13.销售收入为主营业务与其他业务收入之和。
14.纳税总额是指企业已实际缴纳的税额。一般包括增值税、附加税、所得税,不包括个税。
15.成本费用总额按照企业所得税年度纳税申报表口径,包括营业成本、营业税金及附加和期间费用,具体核算:成本费用总额=营业成本+营业税金及附加+销售费用+管理费用+财务费用。
16.知识产权采用分类评价,其中:发明专利、植物新品种、国家级农作物品种、国家新药、国家一级中药保护品种、集成电路布图设计专有权等按Ⅰ类评价;实用新型专利、外观设计专利、软件著作权按等(不含商标)Ⅱ类评价。17.有效期内高新技术企业填报相关数据要符合高新技术企业认定标准。
18.近五年包括填报当年。
19.企业主导制定国际标准、国家标准或行业标准是指企业在国家标准化委员会、工业和信息化部、国际标准化组织等主管部门的相关文件中排名起草单位前五名。
20.省部级以上研发机构包括国家部委、省直单位批准认定的企业牵头建立的实验室、研究中心、技术中心、设计中心、创新中心及研究院等各类国家级、省(部)级创新平台(基地)。
支持政策
完成入库的科技型中小企业可享受相关扶持政策,例如研发费用加计扣除政策、亏损结转政策等。例如:
科技型中小企业加计扣除比例从75%提高到100%,对企业加大研发投入实行税收优惠。
自2018年1月1日起,当年具备科技型中小企业资格的企业,其具备资格年度之前5个年度发生的尚未弥补完的亏损,准予结转以后年度弥补,最长结转年限由5年延长至10年。
温馨提示:科技型中小企业入库登记编号自取得之日起,当年有效。根据《关于进一步提高科技型中小企业研发费用税前加计扣除比例的公告》(财政部、国家税务总局、科技部公告2022年第16号),鼓励企业5月31日前获得入库登记编号,及时享受科技型中小企业研发费用税前加计扣除专项政策优惠。符合条件的企业抓紧申报吧!